
O Futebol que conhecemos como esporte jogado no mundo inteiro (com “F” maiúsculo mesmo) tem passado por muitas transformações nos últimos vinte anos, aproximadamente, ainda que não possamos esquecer que a essência dele continua, de certa forma, intocável. Este cerne não é científico e, muito menos, quantificável. É artístico, qualitativo e imprevisível. À sua volta, sim, as áreas científicas, quantificáveis e previsíveis se desenvolvem para tentarem chegar cada vez mais próximas à essência do jogo, mesmo que esta busca seja utópica.
Entre as mutações que o Futebol sofreu, uma delas foi a grande tendência metodológica acerca do desenvolvimento do treino e o aperfeiçoamento de áreas anexas a ele (aquelas científicas e quantitativas). O treino, definitivamente, mudou muito: as metodologias estão precisas, o aproveitamento do tempo cada vez mais eficaz e a tal da “especificidade” em alta. Podemos dizer que se hoje um treinador não planeja uma sessão de treino com a cabeça totalmente voltada para a especificidade do esporte, é como se ele perdesse tempo.
Entre vantagens e desvantagens, devemos prestar atenção em alguns pontos que nos passam desapercebidos no cotidiano. Treinar em especificidade, se levado ao pé da letra, significa treinar 90 minutos, 11 contra 11, em campo de dimensão formal, pois este é o mais próximo que se pode chegar, em treino, ao jogo. Isto seria possível? Até seria, porém pouco recomendado, pois a especificidade é a principal causa de lesões por sobreuso, abandono precoce do esporte e maior causador do burnout precoce, como falamos anteriormente na coluna sobre o Prof. Dr. José Afonso Neves.
Assim, temos os jogos formais, reduzidos e/ou condicionantes, representativos e, quase que no fundo do baú, o treino analítico. Para a nova geração, a palavra “analítico” pode provocar ansiedade, pavor e até alergia, porém há curiosidades nos últimos tempos. Sabemos que a metodologia que mais trata sobre especificidade (e, provavelmente, a primeira a frisar com tamanha veemência) é a Periodização Tática. O peculiar é que um de seus principais propulsores, Prof. Dr. José Guilherme, promoveu uma pesquisa científica acerca do treino analítico e o seu impacto nos jogos oficiais. Para quem quiser saber mais, deixo aqui o título do artigo.

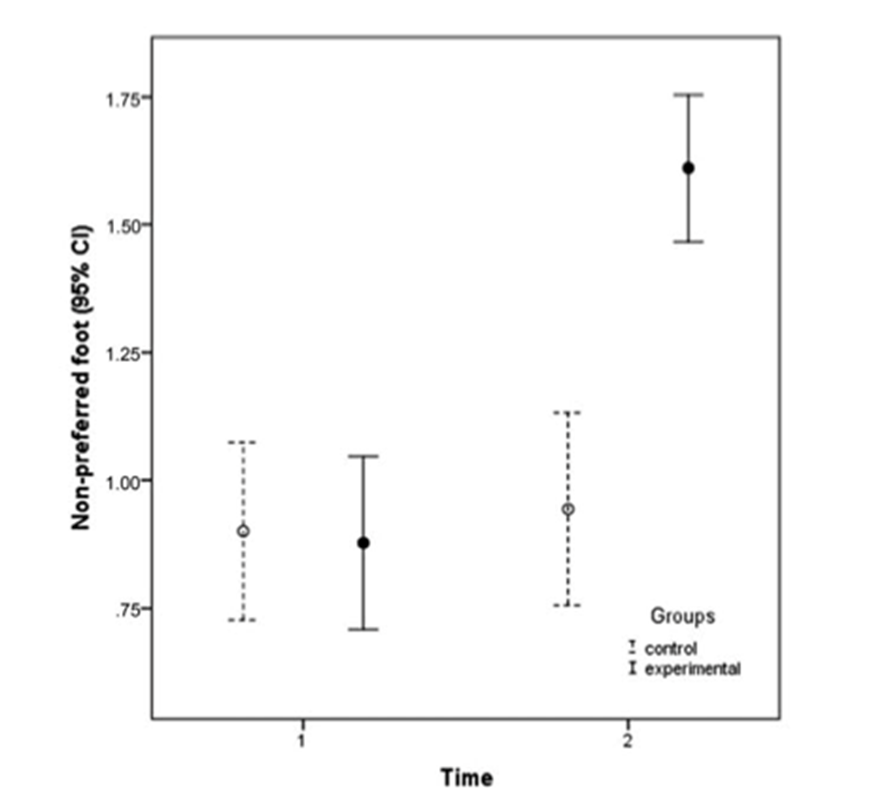
A metodologia da pesquisa se baseou em ter dois grupos: um controle e um experimental. O grupo controle não teria qualquer tipo de treino diferente, enquanto que o grupo experimental iria fazer treinos analíticos com a perna não-dominante. Os dois grupos foram expostos a jogos antes e depois deste período de intervenção.
Por mais que pareça um contrassenso, a indagação do Professor acerca do efeito do treino analítico no jogo formal fez muito sentido e o motivo está exposto abaixo no gráfico:

Os resultados mostraram que o grupo controle não teve mudanças significativas entre o período de intervenção, já o grupo experimental teve um acréscimo de praticamente 75% de uso em relação à perna não-dominante, ou seja, o treino analítico exerceu impacto direto no jogo! Quem não se lembra daquele vídeo que viralizou do treino analítico de finalização do Richarlison, pela seleção brasileira, que acabou resultando em um gol contra a Sérvia na Copa do Mundo de 2022?
Além deste caso entre treino e utilização de pé não-dominante, vemos que o Futebol sempre teve uma alta demanda em relação às bolas paradas. Este momento do jogo é meramente analítico, uma vez que o jogador cobrador tem apenas um toque para colocar a bola em jogo e o seu trato com a bola, aliado a uma decisão eficaz, pode resultar numa diferença de até 35% dos gols de uma determinada equipe.
O treino está constantemente sendo reinventado e, portanto, o espaço ao “novo moderno” me parece desafiador não tanto a treinar em especificidade, mas sim, em treinar englobando diversos tipos de exercícios (desde os analíticos até os formais) dentro de um microciclo. Nem tanto ao céu nem tanto ao inferno: provavelmente a palavra do momento seja “especificidade”, enquanto a que pode moldar o futuro do treino seja “equilíbrio”.
Texto de Leonardo Monteiro

Últimas vagas do curso de Scouting com prática na Copa São Paulo de 2025
Na busca por seguir com o processo de acompanhar de perto a evolução da área de Scout/Análise de Mercado, auxiliando diversos profissionais a evoluírem em suas carreiras e ajudar aqueles que desejam ingressar na área de análise, o FootHub lança o curso Scouting: Análise de Mercado – edição Copa São Paulo, uma oportunidade única para quem deseja começar ou aprimorar sua carreira na área que mais cresce no futebol.
Voltado à prática e com foco na Copa São Paulo de Futebol Júnior, este curso une teoria e prática para preparar os alunos a desenvolverem seus portfólios e fortalecerem suas habilidades em análise de mercado. Além disso, a Copinha é uma competição que reúne muitos atletas, e os clubes não conseguem observar todos, então é uma ótima oportunidade para você, que deseja trabalhar nesta área.
Estrutura do Curso
O curso é dividido em três módulos teóricos e um estágio prático:
- Os Princípios de um Analista
Com Arthur Fraga, abordando desde o início da carreira em análise de mercado até habilidades-chave e montagem de bases de dados. Aqui, os alunos serão introduzidos a conceitos como Time Sombra e Hot List. - Processos de Análise
Com Luiz Alencar, que apresenta as ferramentas, rotinas e práticas diárias de um analista, além de ensinar a montagem de relatórios de análise. - Montagem de portfólio
Quer saber como montar seu portfólio na área de análise de mercado e se aproximar da sua primeira oportunidade? Nesta aula comandada por Arthur Fraga você receberá um passo a passo para sair do curso com seu material de trabalho completo! - Case Copa São Paulo
Ministrado por Matheus Rosa, este módulo desvenda as estratégias aplicadas na Copa São Paulo, ajudando os alunos a adaptarem essas práticas para outras competições e contextos. - Estágio Prático na Copa São Paulo
Durante a Copa São Paulo 2025, os alunos terão a oportunidade de aplicar o conhecimento adquirido, observando equipes e jogadores, dividindo-se entre grupos para elaborar relatórios e análises de desempenho ao longo da competição.
Se você tem o objetivo de desenvolver sua carreira na área, esta é a oportunidade certa para você! Com dicas de networking, montagem de currículo e estratégias de atuação, o curso ajuda o aluno a construir uma base sólida para conquistar espaço no mercado no setor que mais cresce no mercado do futebol.



